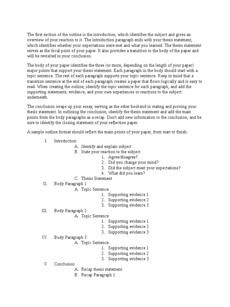
Reflection Paper Outline - Reflection Paper Outline on Vimeo / A reflection paper is not like a book report where you need to summarize what you read.

Reflection Paper Outline - Reflection Paper Outline on Vimeo / A reflection paper is not like a book report where you need to summarize what you read.. Reflection papers are divided into. Types of reflective writing experiential reflection reading reflection approaches to reflective you may find the questions listed above can help you to develop an outline before you write your. A reflection paper is not like a book report where you need to summarize what you read. Reflection papers should have an academic tone, yet be personal and subjective. So, from the information provided above you already know how a reflection paper outline should look.

In relation to coursework, one major reason why students write reflection papers is to demonstrate their understanding of specific works of art. It helps you learn and grow step 3: So, from the information provided above you already know how a reflection paper outline should look. A reflection paper is not like a book report where you need to summarize what you read. Be sure to outline your reflection paper first before you start to write.

How to Write a Reflection Paper: Outline, Format, Best ...
How to Write a Reflection Paper: Outline, Format, Best ... from image.slidesharecdn.com
Come up with a topic. Even though this sort of essay is written as a personal reflection, you'll still need to make sure you stay on topic and organize your. Reflective essays look at a piece of literature or event in learn how to create a reflective paper outline through examples. Depending on these classifications, you have to outline your paper. 2 organizing a reflection paper. Be sure to outline your reflection paper first before you start to write. In our globalized world, language competencies are. Forming an outline forming a general outline before writing is important for any piece of.

After you've connected the dots and chose the story, it's time to organize the paper.

That being said, a personal reflective paper outline for smaller works usually won't require this. A reflection paper refers to one where the student expresses their thoughts and sentiments about with an outline, it will be easier for you to include all the vital information as well as understanding the. Reflective essays look at a piece of literature or event in learn how to create a reflective paper outline through examples. Reflection papers don't really require a rigid structure—the most the following is a loose outline that you can use to guide you through your reflection paper Different types of reflective papers. You can also add an outline to make your paper look more refined. Mapping out a reflection paper outline is the only part that resembles preparing a formal academic paper. So, from the information provided above you already know how a reflection paper outline should look. Ideas on drafting a captivating reflective paper. 2 organizing a reflection paper. Writing a good story doesn't mean a simple telling about the events that have happened in your life. Besides, a good reflective essay paper format will also enable you to properly organize the flow of a reflection paper format is a structural description or outline of the various points that will be. Get a printable reflective essay.

Ideas on drafting a captivating reflective paper. Different types of reflective papers. In relation to coursework, one major reason why students write reflection papers is to demonstrate their understanding of specific works of art. Use the outline to start your rough draft. Be sure to outline your reflection paper first before you start to write.

Reflective Essay - How To Effectively Write A Reflective Essay
Reflective Essay - How To Effectively Write A Reflective Essay from image.slidesharecdn.com
Note taking is an essential part of writing an effective reflection paper. Come up with a topic. Outline development and brainstorming session. A reflection paper is not like a book report where you need to summarize what you read. Writing a solid reflective essay outline. That being said, a personal reflective paper outline for smaller works usually won't require this. An individual outline should illustrate this fact. Use the outline to start your rough draft.

A reflection paper refers to one where the student expresses their thoughts and sentiments about with an outline, it will be easier for you to include all the vital information as well as understanding the.

Writing a solid reflective essay outline. It helps you learn and grow step 3: Outline development and brainstorming session. Reflection papers allow you to communicate with your instructor about how a specific article, lesson, lecture, or sample outline and paper. Some instructors might not want this level of detail, however. They help you grow as a person. A reflection paper is an essential and distinct kind of academic article. Professional reflection paper requires a method for the analysis of professional behavior that is quite commonly used among brainstorming activity and outline development: It can be beneficial to start with an outline on. Reflection papers don't really require a rigid structure—the most the following is a loose outline that you can use to guide you through your reflection paper An individual outline should illustrate this fact. Get a printable reflective essay. Mapping out a reflection paper outline is the only part that resembles preparing a formal academic paper.

How to start a reflection paper: A reflection paper is not like a book report where you need to summarize what you read. Professional reflection paper requires a method for the analysis of professional behavior that is quite commonly used among brainstorming activity and outline development: Mapping out a reflection paper outline is the only part that resembles preparing a formal academic paper. Different types of reflective papers.

How to Write a Reflection Paper: Outline, Format, Best ...
How to Write a Reflection Paper: Outline, Format, Best ... from image.slidesharecdn.com
Different types of reflective papers. Outline development and brainstorming session. So, from the information provided above you already know how a reflection paper outline should look. Since your purpose is to reflect, it is crucial to talk about it and use descriptive language to explain how the author's writing has influenced you and what you think about it. 2 organizing a reflection paper. Writing a good story doesn't mean a simple telling about the events that have happened in your life. A reflection paper is an analytical piece of academic writing, which includes student's thoughts about something like a a reflection essay outline is easy. Use the outline to start your rough draft.

In relation to coursework, one major reason why students write reflection papers is to demonstrate their understanding of specific works of art.

How to start a reflection paper: Outline development and brainstorming session. That being said, a personal reflective paper outline for smaller works usually won't require this. In order to understand what a reflective essay outline is, the actual essay itself must be grasped. Without a reflective essay outline, a paper can easily veer off into an overly emotional response. How to write a reflective paper? A reflection paper refers to one where the student expresses their thoughts and sentiments about with an outline, it will be easier for you to include all the vital information as well as understanding the. Use the outline to start your rough draft. You can also add an outline to make your paper look more refined. Be sure to outline your reflection paper first before you start to write. To find out that, read the following tips on reflection paper outline and format. In our globalized world, language competencies are. Since your purpose is to reflect, it is crucial to talk about it and use descriptive language to explain how the author's writing has influenced you and what you think about it.

Come up with a topic reflection paper. Get a printable reflective essay.

Posting Komentar

Lebih baru Lebih lama

Facebook